中国科研正告别「数量取胜」,以质量与领导力实现从跟跑到领跑:国际合作中领衔比例迅速上升,正在与美欧趋于均衡。人工智能、先进通信、半导体与量子等关键赛道全面加速,顶刊与高被引成果、顶尖人才同步跃升。依托「一带一路」科学网络与评价改革,中国在开放合作中放大影响力,正重绘全球科技版图。
过去几十年间,中国科研在国际舞台上演绎了一出「后来者居上」的传奇。
曾几何时,中国学者因论文数量激增而被称为「论文大国」,然而论文质量良莠不齐;
而今,中国正逐步摆脱「数量取胜」的刻板印象,以更高的科研质量和领导力崭露头角。
在国际科研合作的长跑比赛中,那位曾遥遥领先的选手开始感受到来自东方的脚步声——中国正从追随者变为领跑者。
这个转变不仅体现在发表论文的数量上,更反映在科研合作中角色的转变和成果影响力的提升上。
一篇发表于顶刊PNAS(美国国家科学院院刊,中科院1区)的中美合作的的论文通过大量分析得出了该结论。论文作者来自武汉大学与美国芝加哥大学、加州大学洛杉矶分校等。

论文地址:https://arxiv.org/abs/2406.05917
从跟跑到领跑
国际科研团队中的中国身影
在全球科研合作团队中扮演领导者角色,是衡量科研强国地位的重要标志。
长期以来,美国、欧洲等发达国家科研人员往往主导国际合作项目,而中国学者更多扮演跟随或辅助的角色。
然而这种局面正在迅速改观。
数据显示,中国科学家在双边合作团队中担任「领衔」角色的比例正大幅上升。
2010年,中美合作论文中担任团队领导的中国科研人员仅占约30%,而美国方面占70%;
到2023年,这一比例已演变为中国约45%、美国55%。
不到十五年的时间里,中国在中美科研合作中的领导权比例几乎实现了翻倍式提升。
按照研究模型的预测,中国与美国科研合作中的领导者占比有望在2027年前后达到平衡。
与欧盟的科研合作,中国预计在2025-2027年间追平对方,在与英国的合作中更是早在2019年就已实现平分秋色。
换言之,中国科学家正快速缩小与美欧在国际团队领导力上的差距。

值得注意的是,上述赶超主要体现在绝对数量上。
若考虑科研人员基数,衡量单位科研工作者承担领导角色的相对概率(即「领跑溢价」),中国的追赶仍有漫长的路要走。
研究发现,按目前趋势,中国在每位科研人员承担领袖职责的频率上,与美国持平要到本世纪末才可能实现(2087年以后)。
即便相较欧盟,中国在人均领导力上的追赶也可能拖至本世纪中叶之后。
这意味着中国拥有庞大的科研队伍,但如何让更多「一线科研大军」成长为能引领项目的领军人物,仍是挑战。
尽管如此,中国顶尖科学家在国际合作中挑大梁的案例越来越多,这种从「跟跑」到「领跑」的转变正悄然改变着全球科研合作的格局。
人工智能到量子
前沿技术竞赛中的后来居上
科学实力的较量,集中体现在人工智能、半导体、通信等关键前沿领域。
过去这些领域长期由西方国家主导,如今中国正迅速缩小差距并在部分领域实现领跑。
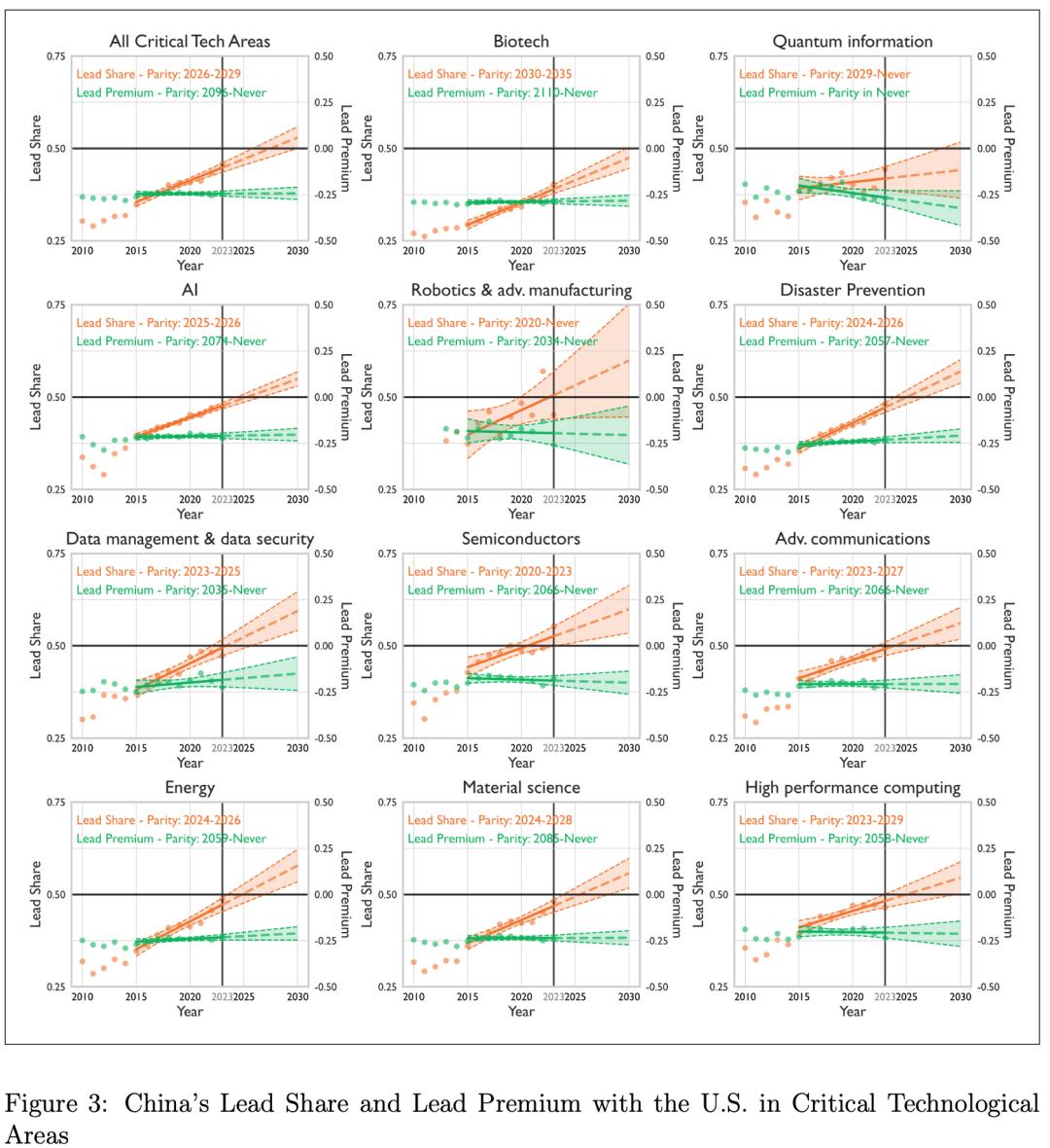
研究针对美国国家科学基金会定义的11个关键技术领域进行分析显示,在包括人工智能、先进通信、半导体等在内的8个领域中,中国科学家在中美合作中担任领军的比例有望在2030年前赶上并肩甚至超过美国。

综合来看,中美整体科技合作的团队领导权份额预计将在2026-2029年间达到对等。
人工智能领域的中美合作中,中国科学家担任领导的比例预计将于本世纪20年代末接近美国,同样情形还将出现在防灾减灾、数据安全、先进通信、能源技术、新材料、高性能计算等多个高科技领域。
相比之下,生物技术领域可能要到2030年以后中国才能追平美国的领导地位,而量子信息领域则可能在2030年后才逐步靠近。
唯一的例外是机器人与先进制造领域,由于数据较少,预测尚不确定,但大趋势无疑是中国在绝大多数前沿技术赛道上都在迅猛逼近领跑集团。
以人工智能为例,这一领域堪称当今科技竞争的焦点。
中国近年在人工智能领域投入巨大发展,不仅发表的人工智能研究论文数量位居世界第一,专利产出也高居榜首。
更重要的是,中国的人工智能研究正从「量」向「质」突破:顶尖人工智能模型的研发上美国仍领先,但中国的人工智能系统性能进步神速,已将与美国的差距从两年前的「双位数」提升到如今几乎持平。
2024年,虽然美国产出了40个全球瞩目的人工智能模型,而中国为15个,但中国模型在关键测试上的表现几乎追赶上美国同期水平。
这表明中国不仅在人工智能论文和专利数量上领先,在人工智能核心技术和模型能力上也迅速缩小差距。
再看半导体与通信领域。中国在5G通信技术上已是公认的领军者之一,相关科研和应用全球领先;
在集成电路与芯片研究方面,尽管受到技术封锁压力,中国科研人员在材料、制造工艺等前沿发表了大量高水平论文,国际合作中扮演主导的案例逐年增多。
这些关键技术领域的突破,既得益于国家战略投入,也离不开中国科研团队在全球范围内广泛合作并奋起直追。
值得一提的是中国在量子科技领域的惊人进展。
2020年,中国科学家研制的「九章」量子计算机通过光子实现了量子优越性(量子霸权)的演示,用200秒完成了经典超级计算机需数亿年才能完成的计算任务。

新款「九章三号」量子计算机实验装置示意图
这是继谷歌之后全球第二次实现此里程碑式突破,震惊了国际物理与计算领域。
这台基于光子的量子计算原型机展现出中国在量子计算研究上的雄厚实力和创造力。
此外,早在2016年,中国就发射了世界首颗量子科学实验卫星「墨子号」。

借助这颗卫星,科学家们在2017年成功实现了北京和维也纳之间的全球首例洲际量子加密视频通话。
这一创举标志着中国在量子通信领域已抢占先机:通过量子纠缠分发实现超安全通信,将科幻般的场景变为现实。
这些突破表明,在量子计算和量子通信等前沿赛场上,中国不再是跟跑者,而是开始引领新的竞赛。
与此同时,在生物科技等领域中国也在厚积薄发。
早在2016年,中国发表的生物技术高影响力论文数量就已超越美欧,跃居世界第一。
到2023年,中国在合成生物学、基因组测序、新型抗生素等尖端方向产出的高被引论文数量占全球比重都名列前茅,合成生物学领域全球最常被引用的论文中有超过六成出自中国科研人员之手。
可以说,从人工智能到量子、从芯片到生物医药,中国正迅速崛起为各大前沿科技领域的关键玩家。
昔日这些高地由西方垄断,如今中国科研正以后来居上之势改写着科技版图。
当科学走上「丝绸之路」
除了在传统强国间比肩追赶,中国还通过「一带一路」倡议开辟了一条独具特色的「科学丝绸之路」。
这条新丝路不同于古代商队驼铃,却同样将中国与亚洲、非洲、欧洲的众多国家紧密相连,只是交流的货物变成了知识和人才。
通过「一带一路」,中国积极拓展与沿线国家的科研合作,扶持这些国家培养科技人才,并在合作中发挥引领作用。
首先体现在教育和人才培养上,中国对「一带一路」国家的科研人才投入可谓不遗余力。
据中国教育部统计数据,自2012年至2024年,中国政府累计投入超过320亿元人民币(约合45亿美元)用于支持外国留学生来华深造。
这个金额之大令人惊叹,相当于中国资助本国学生出国留学经费的70%,也达到2018年美国国家科学基金会全年预算的66%。
换言之,中国拿出了近乎支持国内人才的力度来培养「一带一路」沿线的海外科技英才。
虽然21世纪20年代初外国留华人数一度下滑,但2023年起资助计划迅速反弹,显示出中国继续推进这项教育外交的决心。
来华求学的留学生构成也发生了变化。
早年间,在华外国留学生多来自周边发达地区,如东亚、欧洲等;
但到2018年,来自南亚、非洲等发展中国家的学生已占据近一半比例。
中国逐渐将奖学金名额和招生名额向经济欠发达的「一带一路」伙伴倾斜,帮助这些国家培养紧缺的科技人才。
这种转变意味着,中国正将教育资源投向那些更需要帮助也更有可能与中国建立紧密科研联系的发展中国家。
许多来自「一带一路」国家的青年才俊在中国高校攻读硕博士,他们中的不少人选择了与「一带一路」相关的研究方向。
在2012年,仅有0.21%的在华硕博论文涉足「一带一路」主题;而到了2019年,这一比例攀升至1.17%。
外国留学生用中文撰写的「一带一路」相关论文数量在同期增长了6倍!
这表明大批来自发展中国家的年轻学者正融入中国的科研体系,在中国导师的带领下投身于「一带一路」课题研究,可谓你中有我、我中有你。
这些外国学子既深化了本国与中国的科技纽带,也为中国科研带来了多元视角。
在科研合作层面,「一带一路」倡议同样让中国赢得了更大的话语权。
由于沿线很多国家科研基础相对薄弱,中国在与它们合作时往往居于主导地位。
例如,将「一带一路」国家按经济水平分组分析发现:
对于低收入组国家,中国学者在双边合作论文中担任领导的比例远高于对方;
即使面对高收入的「一带一路」国家,中国也在2020年左右达到与对方科研领导力平分秋色的水平。

不仅如此,模型预测显示,中国在这些沿线国家中的人均科研领导力也即将追上甚至超过对方。
这意味着,「一带一路」正成为中国拓展科研版图的新舞台:通过提供资金、培训人才和联合攻关课题,中国既提升了沿线国家的科研能力,又为自身赢得了在这些合作中的主导地位。
在这个过程中,中国与广大发展中国家间建立起科学领域的信任和伙伴关系,为未来更多元的国际合作奠定基础。
可以说,中国正在织就一张覆盖亚非欧的科学合作网络——一条21世纪的「丝绸之路」,其上流动的不再是香料或瓷器,而是知识、技术和人才。
这不仅拓宽了中国科学家的朋友圈,也为那些沿线国家提供了宝贵的发展机遇。
中国科研正「借船出海」,通过「一带一路」把自己的科研影响力带到更远的地方,在全球范围内实现双赢的科技进步。
质量跃升
从顶刊到高被引
中国科研从量到质的飞跃,同样体现在顶尖学术期刊和高影响力成果上。
曾经,国际主流认为「中国论文数量庞大却缺乏质量」,然而近年的数据表明这种看法已经落伍。
中国科学家在《Nature》《Science》等世界顶刊上的论文产出正大幅增长,贡献度已经超越美国。
根据Nature Index的统计,追踪82种高质量自然科学期刊的发表情况,中国作者的论文产出在物理、化学、地球环境等领域已超过美国,成为2022年全球高水平论文发表的最大贡献国。
美国目前仅在生命科学领域还保持着一些领先优势。
这一转变说明,中国科研的「尖端部分」正在迅速崛起,许多重大研究成果登上了国际顶级舞台。
这一趋势在前文提及的国际合作领导力数据中也有所体现。
研究发现,无论是在一般期刊还是高影响力期刊上,中国科研团队的领跑势头都十分明显。
即使将期刊按影响因子分层,中国与美国在高影响力学术期刊上的合作领导权也预计将在2034年前后持平。

中国顶尖科学家已经能够在《Nature》《Science》这类殿堂级期刊的国际合作中担任主导。
当然,在更高标准下(如只看最顶尖的0.1%精英作者),美国尚保持一定优势,中国全面赶超可能仍需时日。
但不可否认的是,中国科研正在打破「只发文章不领衔」魔咒,质量跃升的信号日益明显。
除了顶刊论文,衡量科研质量的另一个重要维度是论文被引用的影响力。
高被引论文通常代表着对学术进步贡献大的成果。
最新报告显示,中国在高被引论文数量上已实现对美国的反超。
日本国立科技政策研究所的一项年度报告统计了2018-2020年各国论文在全球前1%被引频次的占比,结果中国以27.2%的份额名列第一,美国以24.9%紧随其后。
这还是史上首次有国家在这一「论文质量皇冠」指标上超越美国。
不仅如此,若看更大范围的高影响力论文(比如被引次数排名前10%的论文),中国同样领先:贡献了约26.6%的份额,而美国占21.1%。这已是中国连续第二年在高被引论文数量上位居全球之首。
如此亮眼的成绩,正说明中国科研的「质量产出」正全面提升。
中国的论文不再只是数量众多,而且越来越多地成为引领科学发展的关键文献。
科研人才方面的指标也印证了这一点。
最新发布的一份报告指出,中国拥有的全球顶尖科学家人数已在2024年首度超越美国。
该报告定义的「高水平科创人才」涵盖在世界顶级学术刊物上发表过有影响力论文的研究人员。
数据显示,2020年美国拥有约36599位这样的顶尖科学家,此后每年略有减少,到2024年降至31781位;
而中国则从2020年的18805位迅猛增长到2024年的32511位,全球占比由17%升至28%,成功反超美国的27%。

https://www.scmp.com/news/china/science/article/3295011/china-surpasses-us-tally-top-scientists-first-time-report
在能够产出世界一流成果的科研领军人物储备上,中国已与美国比肩而立并略居前沿。
这一人才版图的变化,无疑将进一步推动中国科研质量和创新能力的提升。
当然,质量提升的过程中也伴随着自我反思和调整。
过去中国科研界一度存在重数量轻质量的倾向,一些高校和机构曾以论文数量评绩效、发奖金,催生了论文代写等不良现象。
面对这些问题,中国政府近年采取措施刹住这股不良风气。
2020年,中国科技主管部门明令禁止高校以论文发表数量直接与经济奖励挂钩,引导科研评价体系向注重创新质量和实际贡献转变。
这些举措如同为高速疾驰的科研列车校准方向,确保中国科研能够走得更稳、更远。
中国正从各个维度展现出科研质的飞跃:顶级期刊上屡见中国学者领衔的论文,高被引成果中中国比例节节攀升,国际大奖和荣誉榜上也逐渐出现更多华人科学家的名字。
曾几何时,「诺奖荒」还被用来质疑中国科研的成色;
而展望未来,随着中国在基础研究领域厚积薄发,这种状况也有望改观。
科学进步,绝非零和游戏
从改革开放之初的在科学领域仰望西方,到如今在众多领域比肩领跑,中国科学的崛起之路既充满艰辛,也令人振奋。
这种从论文数量领先到科研质量领跑的转变,不仅是中国自身科技实力增强的体现,更是对全球科学版图的一次重绘。
更重要的是,它让我们看到:科学进步,绝非零和游戏。
今天的中国并不是在封闭中赶超,而是在开放合作中成长。
事实上,中国和美国早已互为最大的科研合作伙伴之一,两国之间的学术合作频率之高仅次于美欧合作。
大量研究也表明,中美合作产出的论文往往具有更高的影响力。
这意味着,当东方的科研新星升起,并不必然导致西方的光芒黯淡;相反,双边乃至多边的合作有望催生出更多造福人类的科学突破。
科学无国界,知识的赛场上你追我赶的领跑者更替,最终汇聚成推动人类知识长河不断向前的滔滔浪潮。
参考资料:
https://arxiv.org/abs/2406.05917

